Boost Bending Efficiency with Cutting-Edge Laser Cutting Technology

Table of Contents

With the rapid advancement of modern manufacturing, laser cutting technology has emerged as a primary method for metal sheet processing due to its high precision, efficiency, and low pollution.

However, in actual production, the bending efficiency of cut sheets often limits overall productivity gains.

Traditional sheet processing workflows suffer from issues such as improper parameter transition between laser cutting and bending operations, as well as significant fluctuations in processing accuracy.

These challenges not only reduce production efficiency but also compromise product quality stability.

This paper investigates the efficiency of the laser cutting-to-bending process interface.

It analyzes the influence of laser cutting parameters on sheet properties and explores the correlation between cutting and bending parameters.

A bending process optimization method based on laser cutting is proposed, establishing a collaborative process optimization model.

The research findings enrich the theoretical framework for sheet processing optimization, enhance processing efficiency and quality stability, reduce costs, and boost corporate competitiveness.

Technical Overview

  • Principles of Laser Cutting Technology

Laser cutting employs a high-energy-density laser beam as a heat source to locally heat material to its melting or vaporization temperature.

Simultaneously, an auxiliary gas blows away molten material, achieving material separation.

Its core principle involves converting light energy into thermal energy through laser-material interaction.

During this process, the laser beam is focused through an optical system, creating an extremely high energy density at the focal point—typically reaching 106to 108W/cm².

This rapidly heats the material to its melting or boiling point within an extremely short timeframe (10⁻³ to 10⁻⁶ seconds), enabling highly efficient and precise cutting.

The selection and control of process parameters significantly influence material properties during laser cutting.

Laser power serves as the key parameter for energy input, directly determining the degree of material heating and the size of the heat-affected zone.

Cutting speed, by controlling the duration of heat input, jointly influences cutting quality with power.

Adjusting the focal position alters the energy density distribution, thereby affecting the width and perpendicularity of the cut seam.

Additionally, the setting of auxiliary gas pressure plays a decisive role in slag removal efficiency and the surface quality of the cut seam.

The optimized coordination of these parameters is crucial for ensuring cutting quality and material performance.

  • Analysis of Sheet Metal Bending Process

Sheet metal bending is a crucial plastic forming process that primarily induces plastic deformation in sheet metal through the relative motion of upper and lower dies, thereby achieving the desired bending angle.

This process features simple equipment, convenient operation, and strong adaptability.

Based on different processing methods, it can be categorized into pneumatic bending, mechanical bending, and CNC bending.

With the advancement of manufacturing, modern bending operations predominantly utilize CNC bending machines.

These devices enable high-precision, automated bending tasks, significantly enhancing production efficiency and product quality.

Bending accuracy is influenced by multiple factors.

From a material perspective, mechanical properties, thickness uniformity, and springback characteristics all impact the final bending outcome.

At the process level, mold selection,bending force magnitude, bending speed, and compensation settings are critical factors affecting precision.

Environmental factors such as temperature fluctuations and processing environment stability also warrant attention.

Additionally, equipment factors including machine tool accuracy, control system performance, and die precision directly impact bending accuracy.

The synergistic interaction of these elements ultimately determines the final machining precision.

  • Issues with Existing Technology

Currently, there exists a significant information gap between laser cutting and bending processes.

Process parameter settings are often independent, lacking effective collaborative optimization mechanisms.

Real-time sharing and feedback of processing data are difficult, necessitating extensive manual intervention during process transitions.

This not only reduces equipment utilization but also significantly lowers production efficiency.

Establishing an efficient process handover mechanism to achieve data interoperability and collaborative parameter optimization is key to enhancing production efficiency.

In actual production, precision control faces numerous challenges.

The coupled effects of cutting and bending deformation are difficult to predict accurately, while fluctuations in material properties necessitate frequent adjustments to processing parameters.

The impact patterns of the heat-affected zone generated by laser cutting on subsequent bending performance remain unclear, complicating process parameter optimization.

Particularly when processing complex parts, ensuring dimensional consistency across batch production becomes a prominent issue.

These problems severely constrain further improvements in processing quality and require resolution through in-depth research and technological innovation.

Laser Cutting-Based Bending Efficiency Enhancement Technology

  • Cutting Process Optimization

The optimization design of laser cutting parameters is primarily based on systematic configuration according to material properties and process requirements.

For plates of varying thicknesses and materials, a mathematical model incorporating key parameters such as laser power, cutting speed, focal position, and gas pressure has been established.

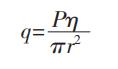
The heat flux density q during the cutting process can be expressed as:

(1)
(1)

In the equation: P represents the laser power; η represents the material’s absorption coefficient; r represents the spot radius.

Through orthogonal experimental design, the optimal combination of parameters was determined.

For carbon steel plates, the best cutting quality is achieved at a power density of 5×106W/cm², a cutting speed of 35–40 mm/s, and a focal position 0.5 mm below the plate surface.

Adaptive parameter adjustment using a fuzzy control algorithm enhances processing stability.

Improvements in cutting path planning focused on minimizing thermal deformation’s impact on subsequent bending operations.

A thermo-mechanical coupling analysis method was employed to establish models for temperature and stress field distributions during cutting.

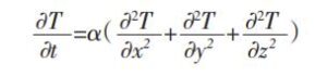
The temperature distribution during cutting can be described by the following equation:

(2)
(2)

In the equation: T represents temperature; t represents time; α represents the thermal diffusion coefficient of the material.

Based on this, an intelligent path planning algorithm was developed, optimizing the traditional “outside-in” cutting pattern into a “thermal equilibrium” cutting pattern.

The new algorithm accounts for thermal accumulation effects.

By adjusting the cutting sequence and feed direction, it ensures uniform heat input across all regions of the sheet, reducing thermal deformation by 35%.

  • Improvements in Bending Processes

To enhance bending precision, a machine learning-based prediction system for bend compensation has been developed.

By analyzing microstructural changes and mechanical property evolution in materials post-laser cutting, this system establishes a correlation model between cutting and bending processes.

The formula for calculating springback angle △θ under elastoplastic deformation conditions is:

(3)
(3)

In the formula: M represents the bending moment; L denotes the die spacing; E signifies the elastic modulus;

b is the plate width; t is the plate thickness; σs is the yield strength.

The system collects and processes extensive actual production data, employing deep neural network algorithms to achieve precise prediction of compensation values, controlling bending angle errors within ±0.1°.

For multi-pass bending of complex parts, an optimized bending sequence method considering cutting impacts is proposed.

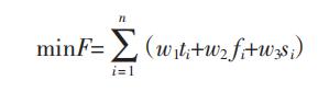
The objective function for bending sequence optimization can be expressed as:

(4)
(4)

Where: ti denotes the tooling changeover time for the i-th process; fi represents the number of workpiece flips; si is the stress release coefficient; w1, w2, w3 are the respective factor weights.

By establishing a finite element model incorporating material deformation history, the impact of different bending sequences on precision and efficiency was analyzed.

The developed intelligent sorting algorithm comprehensively considers tool changeover time, workpiece flipping frequency, and stress relaxation patterns to automatically generate optimal bending paths.

The optimized bending sequence reduced auxiliary time by 30%.

  • Process Collaborative Optimization

A data transmission and sharing platform based on the Industrial Internet of Things (IIoT) has been established, enabling real-time information exchange between cutting and bending processes.

Adopting a distributed architecture, this platform implements unified data standards and transmission protocols.

Process parameters and quality data collected during cutting via an online monitoring system are converted into optimization references for the bending process.

The platform’s data analytics capabilities rapidly identify process anomalies, enabling proactive adjustments.

A parameter linkage control system for cutting and bending processes has been developed,

enabling collaborative optimization of process parameters. The mapping relationship between cutting and bending parameters can be described as:

(5)
(5)

In the equation: Bi represents the bending process parameter; Cj is the cutting process parameter;

kj is the influence coefficient; αi and βi are correction coefficients.

Based on digital twin technology, the system constructs a virtual machining environment capable of predicting the impact of cutting parameter variations on bending accuracy.

Through this mapping relationship, automated parameter adjustment is achieved.

When cutting conditions change, the system can calculate and update bending parameters in real time, ensuring stable machining quality.

This system has increased production cycle time by 25%.

Experimental Validation

  • Experimental Design

This experiment aims to validate the feasibility and effectiveness of the proposed laser cutting-bending efficiency enhancement technology.

Key validation aspects include the optimization effect of cutting parameters, the level of bending accuracy control, and the effectiveness of process coordination optimization.

Through systematic experimentation, the influence patterns of critical process parameters will be obtained to evaluate the engineering application value of the technical solution.

Conventional laser cutting machines and manual hydraulic bending machines were employed for the experiments.

The primary experimental material is Q235 carbon steel plate, with dimensions of 1000mm × 2000mm and thicknesses of 2mm, 3mm, and 4mm.

During the experiment, the study measures dimensions using vernier calipers and micrometers and assesses the hardness of the heat-affected zone with a portable Leeb hardness tester.

The study selects key process parameters for experimentation using an orthogonal experimental design methodology, with specific parameter settings detailed in Table 1.

Table 1 Experimental Levels of Process Parameters
Table 1 Experimental Levels of Process Parameters
  • Experimental Process and Results

The study conducted quality evaluations on cut specimens under various parameter combinations, with the measurement results shown in Table 2.

Table 2 Cutting Quality Test Results (3mm Sheet Material)
Table 2 Cutting Quality Test Results (3mm Sheet Material)

The study conducted bending tests using optimized process parameters.

The measurement results indicate that the 90° bending angle error is controlled within ±0.1°, the springback angle prediction accuracy reaches 95%, and the positional accuracy exceeds ±0.1 mm.

Table 3 presents the bending accuracy test results for different sheet thicknesses.

Table 3 Bending Accuracy Test Results for Different Plate Thicknesses
Table 3 Bending Accuracy Test Results for Different Plate Thicknesses

Batch production test results demonstrate the significant effectiveness of the optimization method proposed in this study.

During the cutting process, parameter optimization reduced the processing time per piece by 18%. In the bending process, auxiliary time decreased by 30%.

Overall production efficiency increased by 25%, while the product pass rate rose substantially from 92% to 98%, fully validating the feasibility of this optimization solution.

  • Data Analysis and Discussion

Analysis of variance revealed the following influence levels of process parameters on cutting quality: laser power (38.5%) > cutting speed (28.3%) > gas pressure (20.2%) > focal position (13.0%).

Although focal position has a relatively minor impact, it plays a crucial role in maintaining cut seam quality stability.

The significant efficiency improvement resulted from synergistic effects across multiple areas.

  • Optimized cutting parameters effectively reduced rework rates and minimized unnecessary processing time; 
  • the machine learning-based bend compensation prediction system enhanced forecasting accuracy, substantially cutting debugging time; 
  • the process coordination optimization platform enabled rapid parameter adjustments; 
  • simultaneously, intelligent path planning reduced time spent on workpiece loading/unloading and flipping operations.

The combined effect of these improvements is fully reflected in enhanced production efficiency and product quality.

Stability assessment conducted on 100 consecutive processed samples showed that the standard deviation of all key quality indicators remained below 5% of the set value, indicating excellent process stability and repeatability.

Hardness fluctuations in the heat-affected zone were controlled within HV ± 15, and microstructural examination revealed no significant degradation in performance.

Conclusion

This study addresses critical technical challenges in laser cutting and bending processes.

Through theoretical analysis and experimental validation, the study proposes a comprehensive efficiency enhancement solution.

The study established a cutting process parameter optimization model and developed a machine learning–based bending compensation prediction system.

This enabled data sharing and parameter linkage control between processes, significantly improving manufacturing efficiency and product quality.

Future research should further explore the evolution patterns of material microstructures and deepen understanding of the cutting-bending coupling mechanism.

Conduct application validation across diverse material systems to broaden the applicability of the technical solution.

Concurrently, integrating artificial intelligence technologies could enhance the system’s adaptive optimization capabilities.

FAQ

Laser cutting directly affects bending accuracy through changes in **material properties, residual stress distribution, and heat-affected zone (HAZ) characteristics**. Parameters such as laser power, cutting speed, focal position, and auxiliary gas pressure determine the extent of thermal input and microstructural transformation at the cut edge. These changes alter yield strength, elastic modulus, and springback behavior during bending. Without coordinated optimization, variations introduced during cutting can accumulate in bending operations, leading to angle deviation, dimensional inconsistency, and reduced batch stability.

In traditional workflows, laser cutting and bending parameters are set independently, creating an **information disconnect** between processes. This lack of coordination results in frequent manual adjustments, low equipment utilization, and inconsistent quality. By establishing a collaborative optimization model—enabled by data sharing and parameter linkage—manufacturers can automatically adapt bending parameters based on cutting conditions. This coordination significantly reduces auxiliary time, minimizes rework, improves yield rates, and increases overall production efficiency by up to 25%.

Among all laser cutting parameters, **laser power and cutting speed** have the strongest influence on bending performance. Statistical analysis shows that laser power contributes approximately 38.5% to cutting quality variation, followed by cutting speed at 28.3%. These parameters govern heat input and thermal gradients, which directly affect residual stress and springback during bending. While focal position has a smaller statistical impact, it plays a key role in maintaining cut edge stability and consistent bending behavior across batches.

Machine learning enhances bend compensation by modeling the complex, nonlinear relationship between cutting-induced material changes and bending deformation. By analyzing large datasets that include microstructural evolution, mechanical property shifts, and historical bending results, deep neural networks can accurately predict springback angles. This approach enables real-time compensation control, reducing bending angle errors to within ±0.1° and achieving prediction accuracy levels of approximately 95%, even for complex multi-pass bending operations.

Intelligent cutting path planning minimizes bending defects by controlling thermal accumulation and deformation during cutting. Traditional “outside-in” cutting sequences often cause uneven heat distribution, leading to warping and residual stress concentration. By adopting a thermo-mechanical coupling model and a “thermal equilibrium” cutting strategy, heat input is balanced across the sheet. This optimized path planning approach reduces thermal deformation by up to 35%, significantly improving dimensional stability and bending consistency.

An IIoT-based collaborative optimization platform enables real-time data exchange and parameter linkage between laser cutting and bending processes. Cutting parameters and quality data are automatically transmitted to the bending system, where digital twin models predict their impact on bending accuracy. The system dynamically updates bending parameters when cutting conditions change, ensuring stable quality without manual intervention. This closed-loop optimization not only improves process stability but also increases production throughput and reduces cost by streamlining decision-making and execution.

Scroll to Top