Tool Wear and Surface Quality in High-Speed CFRP Machining

Table of Contents

Carbon fiber reinforced polymer (CFRP) is an advanced composite material featuring carbon fibers as the reinforcing phase and resin as the matrix phase.

It offers high specific strength and modulus, low thermal expansion coefficient, corrosion resistance, and excellent fatigue properties, making it widely used in aerospace, automotive, and military applications.

Machining Challenges of CFRP Materials

In many applications, materials undergo machining after forming, with milling being a critical process for numerous components.

As CFRP is a non-homogeneous material, the interfacial bond strength between carbon fibers and resin, as well as the interlaminar bond strength, is relatively low.

Debonding at the fiber-matrix interface and delamination are difficult to avoid during cutting.

Furthermore, CFRP exhibits anisotropic properties, often leading to defects such as burrs, tearing, and pitting during machining.

Furthermore, the high strength and hardness of carbon fibers exert abrasive effects on cutting tools.

As tool wear reduces sharpness, the probability and severity of these machining defects increase.

Therefore, investigating tool performance during CFRP machining is crucial for enhancing processing efficiency and ensuring quality.

Review of Previous Research on CFRP Tool Wear

Addressing these challenges, numerous scholars have conducted extensive research on tool wear during CFRP cutting.

Wu W. et al. employed a disc milling cutter fitted with uncoated YG6X cemented carbide inserts to mill unidirectional carbon fiber-reinforced resin matrix composites.

They investigated the effects of tool wear on burrs, cracks, and surface roughness.

Experimental results indicated that as tool wear progressed, surface roughness increased, burrs proliferated, and cracks formed.

Das A. et al. milled CFRP using Ta-C and TiAlCrN coated carbide tools.

Findings revealed that TiAlCrN-coated carbide tools exhibited superior wear resistance compared to Ta-C-coated carbide tools, and also demonstrated lower cutting forces, cutting temperatures, and surface roughness than Ta-C-coated carbide tools.

Sun Zhonghai et al. drilled CFRP using carbide and PCD drills, comparing the durability of both types.

Experimental results demonstrated that PCD drills exhibited significantly higher durability than carbide drills.

Scope and Objectives of the Present Study

High-speed cutting is a crucial technology for enhancing machining efficiency and quality, widely applied in the efficient precision machining of metallic materials.

This study employed TiAlN multilayer nano-coated cemented carbide tools for high-speed milling of CFRP.

It investigated the tool wear patterns, wear mechanisms, and the variation characteristics of cutting forces and machining quality with tool wear.

This research provides experimental and theoretical support for high-speed cutting studies and process development of CFRP.

Experimental Conditions and Protocol

The composite material used in the experiment was a carbon fiber-reinforced resin matrix composite laminate.

It employed T300-24K carbon fiber tow twill fabric as the reinforcing phase and 692-3K epoxy resin as the matrix phase.

Material property parameters are listed in Tables 1 and 2.

The tool holder employed a square shoulder end mill with a diameter of 20 mm.

The cutting inserts were PVD-coated cemented carbide end mills featuring a TiAlN multilayer nano-coating.

Single-tooth milling was performed, with the insert geometry angles detailed in Table 3.

Carbon Fiber GradeDensity (g/cm³)Tensile Strength (MPa)Tensile Modulus (GPa)Elongation (%)
T3001.7635302301.5

Table 1 Properties of Carbon Fiber Woven Fabrics

ModelSpecific Gravity (g/cm³)Hardness (Shore D)Viscosity (After Mixing) (MPa·s)Glass Transition Temperature Tg (°C)A:B Mixing Ratio
692-3K/A1.18 ~ 1.2082 ~ 90160 ~ 20070100:20
692-3K/B0.93 ~ 0.9582 ~ 90160 ~ 20070100:20

Table 2. Properties of the 692-3K epoxy resin system

Primary Relief AngleSecondary Relief AngleCutting Edge Inclination AnglePrincipal Cutting Edge AngleSecondary Cutting Edge AngleTool Nose Radius
11°14°90°0.4 mm

Table 3. Blade Geometric Parameters

Using the Shenyang Machine Tool VMC-850E machining center with a maximum spindle speed of 8,000 r/min.

During cutting operations, a wireless rotary force transducer (Kistler 9170B) measures cutting forces.

The cutting force signals are transmitted via Bluetooth through a signal receiver (5347A4) to a computer for analysis using PTS measurement and analysis software.

A KEYENCE VHX-1000C ultra-deep-field 3D microscope was employed to observe and analyze the wear morphology of the cutting inserts and the machined surface topography of the workpiece.

Surface roughness of the workpiece was measured using a TIME 3200 portable roughness tester. Figure 1 illustrates the milling experimental setup.

Figure 1 Milling Experimental System
Figure 1 Milling Experimental System

The workpiece is clamped vertically. Cutting parameters selected: cutting speed vc = 450 m/min, feed per tooth fz = 0.1 mm/z, depth of cut ap = 1 mm, dry cutting.

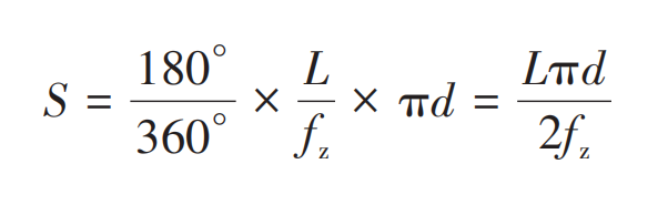
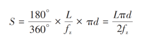
The milling path length calculation is shown in Figure 2, yielding the milling path length formula:

(1)
(1)

In the formula, S denotes the milling path length (mm); L denotes the center stroke of the milling cutter (mm); fz denotes the feed per tooth (mm/z); d denotes the diameter of the milling cutter (mm).

Figure 2. Milling path length calculation
Figure 2. Milling path length calculation

Since the radial depth of cut ae equals the tool diameter, the central angle corresponding to the arc cut by the tool during one revolution is 180°.

Experimental Results and Discussion

  • Tool Wear Mechanism and Wear Patterns

During high-speed milling of carbon fiber-reinforced resin matrix composite plates with TiAlN multilayer nano-coated cemented carbide tools, the tool wear morphology at different stages is shown in Figure 3.

The cross-section of the milled cutting layer is shown in Figure 4.

Due to the tool’s main rake angle κr = 90°, the cutting thickness equals the feed per tooth, 0.1 mm, while the cutting width equals the depth of cut, 1 mm.

Figure 3. Changes in tool wear morphology with milling path length
Figure 3. Changes in tool wear morphology with milling path length
Figure 4 Milling cutting layer
Figure 4 Milling cutting layer

As shown in Figure 3, both the rake face and flank face of the tool exhibited wear during the cutting process.

The rake face showed no crescent-shaped wear pits and remained relatively smooth.

The wear morphology on the rake face generally aligns with the shape of the cutting layer.

The wear zone length in the cutting depth direction is approximately 1.2 mm, slightly exceeding the cutting width.

Closer to the tool tip, the width of the wear zone on the rake face increases, slightly exceeding the cutting thickness.

Away from the tip, the wear zone width decreases, and its boundary tilts toward the cutting edge.

The chip morphology during milling of carbon fiber-reinforced resin matrix composite plates predominantly exhibits short curled chips (see Figure 5), with lengths comparable to the depth of cut.

During milling, the chip layer near the cutting edge is constrained by the overlying layer on the rake face, flowing essentially perpendicular to the cutting edge and exerting significant pressure on the rake face.

This results in a wider wear band on the rake face near the cutting edge.

In contrast, chips near the workpiece surface lack upper-layer constraints, exhibit slightly upward-curled flow, and exert lower pressure on the rake face.

This results in a smaller wear width and a rake face wear band boundary inclined toward the cutting edge at locations distant from the tip.

CFRP chips lack ductility and exhibit low pressure at the tool-chip interface.

Consequently, no crescent-shaped pitting occurs on the rake face, which maintains a relatively flat wear surface.

Maximum wear on the flank face occurs at the cutting edge.

This is because the resin at the workpiece’s upper surface fractures easily during cutting, allowing fibers to lose constraint relatively easily.

This results in reduced compressive friction on the tool.

Conversely, the resin in the lower half of the cut layer resists fragmentation, maintaining strong fiber-resin bonding.

This creates greater compressive friction on the tool during cutting.

Additionally, the cutting conditions at the tip region are more severe, with higher cutting temperatures, leading to more severe wear on the corresponding rear face at the tip.

Figure 5. CFRP milling chip morphology
Figure 5. CFRP milling chip morphology

From the changes in tool wear morphology during the cutting process, elongated coating detachment phenomena appeared on the secondary cutting edge’s rear face during the initial cutting phase.

However, as the milling path length increased, the coating detachment did not expand.

It can be concluded that the localized coating detachment on the secondary cutting edge during the initial cutting phase was primarily caused by the compression of the tool edge by the machined surface.

The wear area on the front face remained largely stable throughout the cutting process. with wear depth slightly increasing as the milling path lengthened.

Nevertheless, the overall wear surface remained relatively smooth.

Evidently, the material properties of CFRP and the chip morphology during milling resulted in a brief flow of chips along the rake face, exerting minimal pressure on it.

Consequently, the carbon fibers within the chips caused negligible wear to the rake face.

The maximum wear on the rear face with respect to milling path length is shown in Figure 6.

Wear on the rear face increases significantly with milling path length, exhibiting near-linear growth.

The wear morphology of the rake face indicates normal wear throughout the cutting process.

Initially, the cutting edge undergoes blunting wear.

As the milling path length increases, the radius of the blunting wear on the cutting edge grows, subsequently expanding into rake face wear.

The wear grooves on the rake face are relatively fine, with their orientation generally aligned with the cutting speed direction.

Due to the relatively coarse texture and higher hardness of carbon fiber compared to cemented carbide, the friction exerted by carbon fiber on the tool surface during cutting is the primary cause of tool wear.

Additionally, owing to carbon fiber’s high tensile strength, the cutting edge exerts significant tensile stress on the fibers within the cut layer during machining.

Correspondingly, the cut fibers also exert a certain degree of wire-cutting action on the cutting edge, accelerating tool wear.

As the milling path length increases, cutting edge dullness intensifies, further exacerbating the fiber’s wire-cutting effect on the cutting edge.

This results in wear increasing at a steep slope, approaching a linear progression.

Figure 6. Variation of maximum wear width on the tool flank face with milling path length.
Figure 6. Variation of maximum wear width on the tool flank face with milling path length.
  • Variation of Cutting Forces During Milling Process

Figure 7 shows waveforms of the three cutting force components at different stages.

The average peak values of each cutting force component vary with milling path length, as illustrated in Figure 8.

Figures 7 and 8 reveal that radial force is the largest while axial force is the smallest during CFRP milling.

Since the milled CFRP plate consists of a carbon fiber filament twill-woven fabric layer composite, the carbon fibers within the machined layer undergo bending deformation under tangential force during milling.

Their elastic recovery generates significant resistance against the tool’s primary cutting edge, resulting in elevated radial force.

The tangential force primarily depends on the shear of carbon fibers by the primary cutting edge and the friction between the machined surface and the rake face.

Since the shear strength of carbon fibers is far lower than their flexural strength, the tangential force is smaller than the radial force.

The axial force mainly results from the elastic recovery of the machined surface exerting pressure on the secondary cutting edge and the axial component of the cutting force from the tool tip’s rounded edge.

Clearly, both these forces are relatively small, making the axial force the smallest among the three components.

Throughout the cutting process, the tangential force remains largely stable, while both radial and axial forces increase with the length of the milling path.

Previous studies indicate that as the milling path length increases, tool edge dullness and wear on the primary and secondary rake faces progressively intensify.

The increase in the tool edge’s blunting radius enhances the elastic resistance caused by the bending of carbon fibers in the cutting layer, leading to a corresponding increase in radial force with the milling path length.

Wear on the secondary rake face intensifies its squeezing action on the machined surface, resulting in a corresponding increase in axial force with the milling path length.

The preceding analysis indicates that the tangential force is primarily influenced by the shearing action of the main cutting edge on carbon fibers and the friction between the machined surface and the rear cutting edge.

Although edge blunting increases the difficulty of fiber shearing, the compressive friction from the main cutting edge intensifies fiber fracture.

Simultaneously, edge blunting elevates temperatures in the cutting zone, softening the resin.

The combined effects of these factors result in a relatively stable overall tangential force, showing only a slight decrease and fluctuating around 50 N.

Figure 7. Cutting force waveforms at different stages
Figure 7. Cutting force waveforms at different stages
Figure 8. Variation of cutting force with milling path length
Figure 8. Variation of cutting force with milling path length
  • Variation in Workpiece Surface Roughness During Milling Process

Figure 9 shows the variation in workpiece surface roughness with milling path length.

It can be observed that as the milling path length increases, the surface roughness of the machined surface also increases.

This indicates that during high-speed milling of carbon fiber reinforced composites using coated carbide tools, the surface roughness of the machined surface exhibits a positive correlation with the degree of tool wear.

That is, the more severe the tool wear, the greater the surface roughness.

Figure 9. Variation of workpiece surface roughness with milling path length
Figure 9. Variation of workpiece surface roughness with milling path length

Figure 10 shows the surface topography of the machined workpiece after milling with the tool exhibiting maximum wear.

The transverse striations visible in the image represent the exposed edges of the carbon fiber cloth layer following cutting.

The surface roughness measurement direction is parallel to these transverse striations.

The image reveals numerous micro-pits on the machined surface captured at 50x magnification.

Further magnification at 150x reveals broken fibers within these micro-pits, alongside fibers that have been pulled out of the matrix after debonding.

These micro-pits constitute the primary machining defect, classified as subsurface damage.

During the later stages of milling carbon fiber-reinforced resin matrix composite plates with worn tools, the dull cutting edge subjects the cut layer to shearing, compression, and friction.

This causes fibers to undergo tensile stretching and shear stress before fracture.

The compressive friction fractures the resin matrix, forming pits under the tensile stress of the fibers.

Due to tool wear and edge dulling, fibers are more likely to fracture through friction-induced stretching than clean cutting.

As the surface resin softens, fiber breakage points occur beneath the machined surface under the curing clamping effect of the deeper resin, creating surface pits.

This leads to increased surface roughness as the milling path lengthens.

A small number of fibers detach from the resin, are pulled out, and become embedded in the machined surface.

Figure 10. Topography of the machined surface of the workpiece
Figure 10. Topography of the machined surface of the workpiece

Conclusion

Through experiments involving high-speed milling of CFRP using carbide-coated tools, the following conclusions were drawn:

(1) The friction between carbon fibers and the tool’s rake and flank faces, coupled with the linear cutting action on the cutting edge, are the primary causes of abrasive wear on the tool faces and edge dullness.

The rake face exhibits uniform wear without crescent-shaped pitting, with a wear morphology resembling the cutting layer profile, though the boundary of the wear zone at the trailing edge tilts toward the cutting edge.

Maximum wear on the flank face occurs at the tip-corresponding position.

Edge dulling during cutting increases with the length of the milling path.

(2) Maximum rear face wear increases nearly linearly with milling path length.

At a milling path length of 2,676.9 m, the maximum rear face wear reaches approximately 240 µm.

(3) During high-speed milling of CFRP, radial force is maximum while axial force is minimum.

Both radial and axial forces increase with milling path length.

At a milling path length of 2,676.9 m, the average maximum radial force reaches 129 N, and the average maximum axial force reaches 31 N.

The tangential force decreases slightly with increasing milling path length but remains relatively stable overall, averaging around 50 N.

(4) Numerous micro-pits were observed on the machined surface.

Surface roughness increased with milling path length, reaching approximately 1.9 µm Ra at a milling path length of 2,676.9 m.

FAQ

Tool wear is a major challenge in CFRP high-speed milling because carbon fibers possess high strength and hardness, producing severe abrasive effects on cutting tools. Additionally, CFRP’s anisotropic and non-homogeneous structure causes complex cutting forces, accelerating edge dulling. As tool wear progresses, machining defects such as fiber pull-out, delamination, and surface pitting become more pronounced, directly affecting machining quality and efficiency.

The dominant wear mechanisms of carbide tools during CFRP machining are abrasive wear and cutting-edge blunting. Carbon fibers act like micro cutting wires, generating friction on the rake and flank faces and causing linear abrasion along the cutting edge. Unlike metal cutting, CFRP machining does not typically produce crater wear, as chip pressure and ductility are low, resulting in relatively uniform rake face wear without crescent-shaped pits.

As the milling path length increases, tool wear—particularly flank face wear—shows a near-linear growth trend. Prolonged cutting intensifies edge blunting, expands the wear zone, and increases friction between the tool and carbon fibers. Experimental results show that maximum flank wear can reach approximately 240 µm at long milling paths, indicating that milling path length is a key factor governing tool life in CFRP high-speed machining.

Tool wear significantly affects cutting force evolution during CFRP milling. Radial force is the dominant force component due to fiber bending and elastic recovery, while axial force remains the smallest. As tool wear increases, both radial and axial forces rise with milling path length because edge dulling intensifies fiber deformation and surface squeezing. In contrast, tangential force remains relatively stable due to competing effects of fiber shearing and resin softening at elevated temperatures.

Surface quality deteriorates progressively as tool wear increases during CFRP milling. Worn tools cause fibers to fracture through tensile stretching and friction rather than clean shearing, leading to micro-pits, fiber pull-out, and subsurface damage. Experimental results demonstrate a clear positive correlation between milling path length, tool wear severity, and surface roughness, with Ra values reaching approximately 1.9 µm under severe wear conditions.

TiAlN-coated carbide tools are suitable for high-speed CFRP milling due to their enhanced wear resistance, thermal stability, and ability to maintain cutting-edge integrity under severe abrasive conditions. The multilayer nano-coating reduces friction and delays edge dulling, enabling stable cutting forces and acceptable surface quality over extended milling paths. These advantages make TiAlN-coated tools a practical choice for efficient and high-quality CFRP machining.

Scroll to Top