Vibration Suppression Technology of Small-Scale Fixtures in the Machining of Thin-Walled Parts
Manufacturers widely use thin-walled components in aerospace, automotive manufacturing, and other fields.
Typically less than 5mm thick, their low-rigidity structure makes them susceptible to vibration induced by cutting forces during machining.
Vibration causes excessive tool wear and shortens tool service life.
It also leads to dimensional inaccuracies and surface vibration marks, severely compromising product quality.
Limitations of Conventional Fixtures and Vibration Suppression Techniques
Current conventional fixtures predominantly employ rigid clamping methods.
They lack specialized design considerations for the vibration characteristics of thin-walled parts.
This makes it difficult to suppress machining vibrations effectively.
Existing vibration suppression techniques primarily focus on optimizing cutting parameters, often neglecting the influence of fixtures on the system’s dynamic characteristics.
Therefore, this study addresses the issue by developing a dynamic model of the fixture-part coupled system.
The model considers two perspectives: the structural design of small fixtures and the selection of materials.
An experimental approach validates the effectiveness of this coupled system dynamics model.
It addresses machining vibration challenges in thin-walled components while enhancing both quality and efficiency.
Industries such as aerospace and automotive manufacturing widely use thin-walled components.
Typically less than 5mm thick, their low-rigidity structure makes them susceptible to vibration induced by cutting forces during machining.
Vibration causes excessive tool wear and shortens tool service life.
It also leads to dimensional inaccuracies and surface vibration marks, severely compromising product quality.
Current conventional fixtures predominantly employ rigid clamping methods.
They lack specialized design considerations for the vibration characteristics of thin-walled parts, which makes it difficult to suppress machining vibrations effectively.
Existing vibration suppression techniques primarily focus on optimizing cutting parameters.
They often neglect the influence of fixtures on the system’s dynamic characteristics.
Fixture-Part Coupled System for Vibration Control
Therefore, this study addresses the issue by developing a dynamic model of the fixture-part coupled system.
It focuses on two perspectives: the structural design of small fixtures and material selection.
An experimental approach validates the effectiveness of this coupled system dynamics model.
It addresses machining vibration challenges in thin-walled components and enhances both quality and efficiency.
Fundamentals of Vibration Suppression Design for Small Fixtures
Dynamic Characteristics Analysis
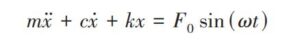
During machining of thin-walled parts, the fixture and part form a coupled vibration system where the system’s natural frequency directly influences vibration response.
Engineers establish a single-degree-of-freedom vibration model for the fixture-part system based on rigid-body vibration theory.
Assuming the system mass is m (kg), equivalent stiffness is k (N/m), damping coefficient is c (N·s/m), and cutting force is a harmonic excitation force F(t) = F₀sin(ωt) (where F₀is the excitation amplitude, N;
ω is the excitation frequency, rad/s; t is time, s).Equation (1) expresses the system’s differential equation of motion:

In Equation (1), Ẍ represents the system acceleration (m/s²), Ẋ denotes the system velocity (m/s), and x indicates the system vibration displacement (m).
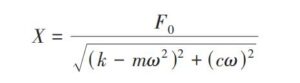
When the system reaches steady-state vibration, engineers can obtain the vibration displacement amplitude X (m) by solving the differential equation, as shown in Equation (2):
-300x83.jpg)
As shown in Equation (2), you can reduce the vibration displacement amplitude X by increasing the system’s equivalent stiffness k or enhancing the damping coefficient c.
You can also adjust the excitation frequency ω to avoid the system’s natural frequency.
The design of small tooling fixtures should focus on enhancing system stiffness and damping to suppress machining vibrations.
Selection of Fixture Material Damping Characteristics
The damping characteristics of fixture materials directly influence the system damping coefficient c.
Among commonly used fixture materials, the damping ratio of 45 steel ranges from 0.005 to 0.01, while gray cast iron exhibits a damping ratio of 0.01 to 0.03.
In contrast, high-damping alloys, such as Mn-Cu alloys, achieve damping ratios of 0.05 to 0.12.
They demonstrate significantly superior damping performance compared to traditional metallic materials.
Comparative experimental testing of the damping loss factor η (characterizing material damping capability, dimensionless) for different materials yielded the results shown in Table 1.
The damping loss factor of Mn-Cu high-damping alloy is 8.6 times that of 45 steel, enabling effective absorption of vibration energy.
Engineers select Mn-Cu high-damping alloy for the clamping section of small tooling fixtures and use 45 steel for the base section to ensure stiffness.
Engineers connect these components via welding, balancing system stiffness and damping performance to provide a material foundation for vibration suppression.

Key Technologies for Vibration Suppression in Small Fixtures
Optimized Design of Fixture Structural Parameters
Small fixtures employ a three-jaw synchronized clamping structure, where clamping radius r (mm), clamping force Fc (N), and jaw length L (mm) serve as critical structural parameters.
Through orthogonal experimental design, three levels were selected for each of the three parameters.
System vibration displacement amplitude X was used as the evaluation metric.
Table 2 shows the experimental factor levels. Engineers use ANSYS software to establish a finite element model of the fixture-part system.
The thin-walled part was set as 45 steel with a wall thickness of 3 mm, an outer diameter of ϕ50 mm, and a length of 100 mm.
Cutting parameters were fixed as: cutting speed v=120m/min, feed rate f=0.15mm/r, and cutting depth αp=0.8mm.
Orthogonal test results indicate that when clamping radius r=25mm (matched to part outer diameter), clamping force Fc= 800 N (to prevent part deformation), and jaw length L = 30 mm (to increase contact area), the system vibration displacement amplitude was minimized, reduced by 38.5% compared to the initial parameters.
The optimized fixture structure disperses clamping force by increasing the contact area between jaws and the part, thereby reducing local stress concentration.
Simultaneously, it enhances the system’s equivalent stiffness to suppress vibration generation.

Cooperative Design of Flexible Clamping and Rigid Support
To address the deformation susceptibility of thin-walled parts, the fixture employs a cooperative structure combining flexible clamping and rigid support.
The flexible clamping section utilizes polyurethane elastic pads (60 Shore A hardness) with a thickness of 5mm, covering the inner surfaces of the jaw flaps.
When clamping force is applied, the elastic pads undergo elastic deformation, increasing the contact area with the part and reducing pressure per unit area to prevent deformation during clamping.
The rigid support section comprises three sets of adjustable support blocks evenly distributed along the part’s axial direction.
made of 45 steel with a surface hardened to 50–55 HRC.
By adjusting the support block positions, the part maintains a stable orientation during machining, minimizing bending and vibration.
Engineers maintain a 0.02 mm clearance between the support blocks and the part to prevent deformation caused by over-constraint.
Under cutting forces, this clearance closes, allowing the support blocks to provide rigid support and enhance the overall system stiffness.
Fixture-Part System Vibration Simulation Analysis
A three-dimensional model of the optimized fixture-part system was established using ABAQUS software to perform modal analysis and transient dynamic analysis.
Modal analysis results indicate the system’s first natural frequency is 285Hz and second natural frequency is 520Hz.
During actual machining, the cutting excitation frequency range spans 150–220Hz, avoiding the system’s natural frequencies and preventing resonance.
In transient dynamics analysis, engineers apply cutting force loads consistent with actual machining to simulate the system’s vibration response during cutting.
The results indicate that the maximum vibration displacement of the optimized fixture-part system is 0.012 mm, representing a 42.9% reduction compared to the traditional fixture system (0.021 mm).
The deviation from the theoretical calculation result (0.011 mm) in Equation (2) is less than 10%, validating the accuracy of the dynamic model and the rationality of the fixture structural design.
The simulation analysis provides a theoretical basis for subsequent experimental verification, ensuring the fixture can effectively suppress vibration during actual machining.
Experimental Verification and Effect Analysis
Design of the Machining Experiment Plan
The experimental subject is a thin-walled sleeve part made of 45 steel.
The part dimensions are: outer diameter ϕ50mm, inner diameter 44mm (wall thickness 3mm), length 100mm.
The material properties are yield strength σs=355MPa and elastic modulus E=206GPa. The experimental equipment selected was a CAK6150 CNC lathe.
The cutting tool employed was a cemented carbide external turning tool (model CCMT09T304), with an emulsion cutting fluid (concentration 8%) used.
The study established two comparison groups.
The control group used a conventional three-jaw chuck made of 45 steel without flexible clamping or rigid support, while the experimental group employed the optimized small-scale fixture designed in this study.
Cutting parameters were identical for both groups: cutting speed v = 120 m/min, feed rate f = 0.15 mm/r, and cutting depth αp = 0.8 mm.
During machining, a laser displacement sensor (model LK-G80) measured surface vibration displacement at 1000Hz sampling frequency.
Post-machining, a surface roughness tester (model TR200) measured Ra surface roughness, while a coordinate measuring machine verified outer diameter dimensional accuracy (tolerance requirement ±0.02mm).
Experimental Results and Analysis
Researchers repeat the experiment three times and take the average value as the final result. Table 3 shows the experimental data.
♦ Machining Performance Improvements with Optimized Fixture
When the experimental group used the optimized small fixture, the maximum vibration displacement on the machined surface of the part was 0.013 mm.
This represents a 40.9% reduction compared to the control group, which measured 0.022 mm.
This result is close to the simulation analysis result (0.012 mm), validating the fixture’s vibration suppression effect.
Surface roughness Ra decreased from 1.8 μm in the control group to 0.9 μm, a 50% reduction, with a noticeable decrease in surface vibration marks.
The outer diameter dimensional error decreased from +0.035 mm in the control group to +0.018 mm, meeting the tolerance requirement (±0.02 mm), indicating a significant improvement in machining accuracy.
♦ Analysis of Vibration Suppression and Practical Benefits
Reasoning: The optimized fixture absorbs vibration energy through high-damping materials.
Its combination of flexible clamping and rigid support structures enhances system stiffness.
This prevents significant part vibration under cutting forces and reduces vibration’s impact on machining quality.
Experimental results demonstrate that the vibration suppression technology for small fixtures proposed in this study effectively resolves vibration issues in thin-walled part machining.
The technology holds practical application value.
Tool life in the experimental group increased by 67.1% compared to the control group, as vibration suppression by the optimized fixture reduced impact wear and lowered tool change frequency.
Single-piece machining time decreased by 20%.
This improvement results from smoother cutting enabled by reduced vibration, which allows operators to maintain speed without causing vibration marks, as shown in Table 4.
The machining pass rate increased by 33.3%, and vibration frequency stability improved by 35.3%, confirming the effectiveness of optimizing the fixture-part system’s dynamic characteristics.
Combined with the data in Table 3, the vibration suppression technology simultaneously enhances machining quality and efficiency while reducing scrap and rework caused by vibration.


Conclusion
This study addresses vibration issues in the machining of thin-walled components by investigating vibration suppression techniques for small-scale fixtures.
Through theoretical analysis, structural design, simulation validation, and experimental testing, a comprehensive technical solution has been developed.
First, a dynamic model of the fixture-part system was established to derive vibration displacement calculation formulas, clarifying the influence patterns of stiffness and damping on vibration.
Subsequently, the fixture was optimized through material selection, combining Mn-Cu high-damping alloy with 45 steel.
The structural design, which incorporates flexible clamping and rigid support, further enhances the system’s vibration suppression capability.
Finally, machining experiments validated the optimized fixture’s performance.
It reduced vibration displacement by 40.9%, lowered surface roughness by 50%, and achieved machining accuracy that met tolerance requirements.
This technology overcomes the limitations of rigid clamping in traditional fixtures, offering a novel approach to vibration suppression for thin-walled part machining.
Future research can further optimize fixture structural parameters and integrate intelligent control technology.
This would enable real-time clamping force adjustment, adapt to the machining requirements of various thin-walled part specifications, and expand the technology’s application scope.
Why do thin-walled components experience vibration during machining?
Thin-walled components, typically less than 5 mm thick, have low rigidity, making them highly susceptible to cutting-force-induced vibration. This vibration accelerates tool wear, reduces tool life, and causes dimensional inaccuracies and surface defects, which severely compromise product quality in aerospace, automotive, and other precision industries.
How do conventional fixtures fail to suppress vibration in thin-walled parts?
Conventional fixtures primarily use rigid clamping methods without considering the vibration characteristics of thin-walled components. They often fail to control machining vibrations effectively because they neglect the fixture-part system’s dynamic behavior, focusing only on cutting parameter optimization.
How does a fixture-part coupled dynamic model improve vibration suppression?
The fixture-part coupled dynamic model evaluates the system’s natural frequency, stiffness, and damping characteristics. By analyzing vibration displacement and system resonance, engineers can optimize fixture material selection and structural design, effectively reducing vibration and enhancing machining quality and efficiency.
What materials are best for high-performance vibration-suppressing fixtures?
High-damping alloys like Mn-Cu significantly outperform traditional metals such as 45 steel and gray cast iron. Mn-Cu alloys achieve higher damping ratios (0.05–0.12), effectively absorbing vibration energy. Using these alloys for fixture clamping sections, combined with 45 steel bases for stiffness, balances system rigidity and vibration suppression.
How does optimized fixture structural design reduce vibration?
Optimized fixtures use a three-jaw synchronized clamping system with carefully selected parameters: clamping radius, clamping force, and jaw length. Incorporating flexible clamping (elastic pads) with rigid supports disperses clamping stress, increases contact area, enhances system stiffness, and reduces vibration displacement amplitude by over 38% compared to conventional designs.
What are the machining benefits of vibration suppression technology?
Experimental verification shows that using optimized fixtures reduces surface vibration displacement by 40.9%, lowers surface roughness by 50%, improves dimensional accuracy to meet tolerance requirements, extends tool life by 67.1%, and decreases machining time by 20%. This results in higher productivity, better surface quality, and reduced scrap or rework.